MathSuccess

12.º

11.º

10.º

9.º

Ficha 6 - Derivadas.

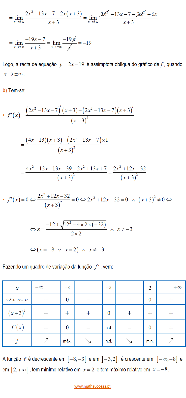
exercício 1
exercício 2
exercício 3
Este site utiliza cookies para lhe oferecer uma experiência mais personalizada. Ao navegar está a permitir a sua utilização

Contactos


mathsuccess.pt@gmail.com

redes sociais


facebook | youtube